Skip Navigation
Skip to contents

J Korean Acad Nurs : Journal of Korean Academy of Nursing

OPEN ACCESS

Articles

Page Path
HOME > J Korean Acad Nurs > Ahead-of print articles > Article
Research Paper
상급종합병원과 종합병원 간호관리자의 직무스트레스와 전문직 삶의 질 관계에서 조직지원인식과 대처방식의 매개효과
양서인orcid, 최민정orcid
The mediating effects of perceived organizational support and coping strategies on the relationship between job stress and professional quality of life among nurse managers in tertiary and general hospitals
Seo-In Yangorcid, Min-Jung Choiorcid

DOI: https://doi.org/10.4040/jkan.25099
Published online: April 6, 2026

가톨릭대학교 간호대학

College of Nursing, The Catholic University of Korea, Seoul, South Korea

Corresponding author: Min-Jung Choi College of Nursing, The Catholic University of Korea, 222 Banpo-daero, Seocho-gu, Seoul 06591, South Korea E-mail: genius0527@naver.com
• Received: July 17, 2025   • Revised: January 21, 2026   • Accepted: January 21, 2026

© 2026 Korean Society of Nursing Science

This is an Open Access article distributed under the terms of the Creative Commons Attribution NoDerivs License (http://creativecommons.org/licenses/by-nd/4.0) If the original work is properly cited and retained without any modification or reproduction, it can be used and re-distributed in any format and medium.

  • 92 Views
  • 10 Download
  • Purpose
    This study aimed to examine the mediating effects of perceived organizational support and coping strategies on the relationship between job stress and professional quality of life among nurse managers working in tertiary and general hospitals.
  • Methods
    The participants were 299 nurse managers employed at tertiary and general hospitals located in Seoul and Gyeonggi Province. Data on job stress, perceived organizational support, coping strategies, and professional quality of life were collected using an online self-report questionnaire between June 28, 2024, and May 31, 2025. The collected data were analyzed using IBM SPSS Statistics ver. 27.0 and the PROCESS Macro ver. 4.0.
  • Results
    Job stress was identified as a significant predictor of professional quality of life among nurse managers. Perceived organizational support and active coping demonstrated significant mediating effects on compassion satisfaction. Active coping showed a significant mediating effect on burnout, whereas perceived organizational support mediated secondary traumatic stress. Passive coping did not demonstrate a significant mediating effect on any of the three subdomains of professional quality of life.
  • Conclusion
    Job stress is closely associated with compassion satisfaction, and this relationship is partially mediated by perceived organizational support and active coping. Accordingly, targeted interventions are required to reduce job stress, strengthen organizational support, and enhance coping competencies among nurse managers. Furthermore, reinforcing institutional- and policy-level support is essential to mitigate secondary traumatic stress and to ensure the sustainability of nurse managers’ professional roles.
1. 연구의 필요성
간호관리자는 병원조직 내 간호 단위의 운영을 총괄하며 인력 배치, 업무 조정, 교육, 행정 관리 등 다양한 기능을 수행하는 중간관리자로서 환자안전과 간호서비스 질 향상에 핵심적인 역할을 담당한다[1,2]. 특히 병동 단위를 실질적으로 관리하는 일선 간호관리자는 간호사들이 조직의 목표를 달성하고 안전하고 질 높은 간호를 제공할 수 있도록 지원하며, 직무만족과 업무 몰입을 높일 수 있는 근무환경을 조성하는 데 중요한 역할을 수행한다[2]. 간호관리자의 관리 역량은 세계보건기구(World Health Organization)와 국제간호협의회(International Council of Nurses)에서도 강조되며, 이는 환자안전, 감염병 대응, 인력 유지 등 보건의료체계의 지속 가능성을 결정하는 전략적 요소로 간주된다[3,4]. 그러나 최근 병상 수 증가, 간호인력 부족, 업무 복잡성 심화 등 의료환경의 변화는 간호관리자에게 높은 수준의 직무스트레스를 유발하고[2,5,6], 이는 피로와 정서적 소진, 직무 불만족 등 부정적 결과를 초래한다[7]. 최근 연구에 따르면, 간호관리자의 소진과 이차 외상성 스트레스 수준이 높을수록 관리자 역할을 지속하려는 의도가 감소하는 경향이 보고되었으며[8], 이는 리더십의 연속성과 조직의 지속 가능성에 부정적인 영향을 미칠 가능성을 시사한다[9].
전문직 삶의 질(Professional Quality of Life [ProQOL])은 전문직 역할 수행에서 경험하는 정서적반응을 나타내는 심리사회적 지표로, 공감만족(compassion satisfaction), 소진(burnout), 이차 외상성 스트레스(secondary traumatic stress)의 세 가지 요인으로 구성된다[10]. 공감만족은 직무수행을 통해 얻는 성취감과 긍정적 정서로, 직무만족과 조직몰입을 촉진하고 관리자 역할의 지속 가능성을 강화하는 요인으로 보고되었다[7,10,11]. 소진은 과중한 업무, 정서적 부담, 낮은 자율성으로 인해 발생하는 정서적 탈진 상태로, 직무만족 저하, 이직 의도 증가 및 삶의 질 저하와 관련된다[5,7,12]. 특히 간호관리자는 역할 갈등, 관리 책임 증가, 복합적인 의사결정 요구 등 직무 특성으로 인해 소진에 더욱 취약한 것으로 보고되었다[2,5]. 이차 외상성 스트레스는 외상 경험을 한 타인을 돌보는 과정에서 발생하는 부정적 정서 반응으로, 두려움, 침습적 사고, 과각성, 회피 행동 등을 포함한다[10]. 간호관리자는 직접 간호 제공의 비중은 낮지만 중증 환자 관련 의사결정, 위기 상황의 조정, 인력 및 부서관리, 직원에 대한 정서적 지원 과정에서 간접적 외상 경험에 반복적으로 노출되며[2,5,13], 이러한 경험은 이차 외상성 스트레스에 대한 취약성을 높여 정서적 회복력 저하와 직무 지속성 약화로 이어질 수 있다[5,13]. Bunch 등[8]은 간호관리자를 대상으로 한 연구에서 공감만족 수준이 높을수록 관리자 역할을 지속하려는 의도가 유의하게 높아지는 반면, 소진과 이차 외상성 스트레스 수준이 높을수록 역할 지속 가능성이 감소하는 경향을 보인다고 보고하였다. Speroni 등[14]은 코로나19 팬데믹 기간 동안 간호관리자의 소진과 이차 외상성 스트레스가 임상 간호사와는 다른 구조적 소진과 스트레스를 가지는 것을 보고하였다. 이러한 선행연구는 전문직 삶의 질이 간호관리자의 정서적 부담을 평가하는 주요 지표로 활용될 수 있음을 보여주며, 간호관리자의 직무가 임상 간호사와 구별되는 정서적 부담 요인을 내포하고 있음을 시사한다. 따라서 간호관리자의 전문직 삶의 질을 강화하기 위한 영향 요인을 규명하는 것은 그들의 정서적 안녕과 직무 지속성 확보는 물론, 지속 가능한 리더십구축과 조직 성과 향상에도 기여하는 중요한 과제라 할 수 있다.
선행연구에 따르면, 조직지원인식은 직무스트레스와 소진을 완화하고 전문직 삶의 질을 증진시키는 조직 차원의 자원으로, 적극적 대처는 정서적 회복력을 강화하고 소진을 감소시키는 개인적 자원으로 보고되었다[15-18]. 조직지원인식은 구성원이 조직으로부터 존중과 배려, 지원을 충분히 받고 있다고 인식하는 정도를 의미하며[19], 이는 직무만족과 정서적 안정, 조직 헌신을 촉진하는 요인으로 확인되었다[15,19]. 간호관리자를 대상으로 한 연구에서도 조직 지원은 직무스트레스를 감소시키고 웰빙과 성과를 향상시키는 요인으로 나타났으며[2,13], 조직 지원이 부족한 경우 소진이 증가하고 직무만족과 일과 삶의 균형이 약화되는 것으로 보고되었다[12,13]. 임상 간호사를 대상으로 한 연구에서도 조직지원인식이 직무스트레스와 공감피로를 완화하는 요인으로 작용하여[16], 간호관리자의 정서적 경험과 전문직 삶의 질에 중요한 조직 자원으로 작용할 수 있음을 시사한다.
간호관리자의 전문직 삶의 질은 조직적 자원뿐 아니라 스트레스 상황에 대한 개인의 인식과 대처방식에 의해서도 영향을 받을 수 있다. Lazarus와 Folkman [20]의 스트레스-대처-적응 이론에 따르면, 개인의 대처는 스트레스 상황을 평가하고 이에 대응하는 과정에서 형성되며, 정서적 반응과 적응 수준에 중요한 영향을 미친다. Carver 등[21]은 대처를 적극적 대처(active coping)와 소극적 대처(passive coping)로 구분하였으며, 적극적 대처는 능동적 문제 해결을 통해 회복탄력성과 적응력을 높이는 반면, 소극적 대처는 회피와 억제를 통해 일시적인 정서 완화를 제공하지만 장기적으로는 소진과 직무 부적응을 심화시킬 수 있다. 간호관리자를 대상으로 한 연구에서도 적극적 대처는 직무스트레스를 완화하고 심리적 웰빙과 업무 적응을 증진시키는 요인으로 확인되었으며[2,13], 소진 감소와 긍정적 직무 경험 유지에 중요한 개인적 자원으로 기능하는 것으로 보고되었다[13]. 이러한 결과는 적극적 대처가 직무스트레스와 전문직 삶의 질 간 관계에서 중요한 매개요인으로 작용할 가능성을 뒷받침한다. 그러나 기존 연구 대부분은 직접 환자 돌봄을 수행하는 임상 간호사를 대상으로 수행되어[17,22] 인력 배치, 자원 관리, 정책적 의사결정, 팀 리더십 수행 등 조직 운영 책임을 지닌 간호관리자의 직무 특성과 전문직 삶의 질을 반영하지 못하는 한계가 있다.
이에, 본 연구는 상급종합병원과 종합병원에 근무하는 간호관리자를 대상으로 직무스트레스가 전문직 삶의 질에 미치는 영향을 분석하고, 이 관계에서 조직지원인식과 대처방식의 매개효과를 검증하여 간호관리자의 전문직 삶의 질 향상을 위한 개인적ㆍ조직적 개입전략을 마련하는 데 필요한 근거자료를 제공하고자 한다.
2. 연구목적 및 가설적 모형
본 연구는 상급종합병원과 종합병원에 근무하는 간호관리자를 대상으로 직무스트레스가 전문직 삶의 질에 미치는 영향에서 조직지원인식과 대처방식의 매개효과를 파악하기 위해 시도되었다. 이를 위해 선행연구 및 문헌 고찰을 토대로 다음과 같은 가설적 경로를 구성하였다(Figure 1AC). 첫째, 직무스트레스는 전문직 삶의 질에 영향을 미칠 것이다. 둘째, 조직지원인식과 대처방식은 전문직 삶의 질에 영향을 미칠 것이다. 셋째, 직무스트레스는 조직지원인식과 대처방식을 매개로 하여 전문직 삶의 질에 영향을 미칠 것이다.
본 연구의 구체적인 목적은 다음과 같다. 첫째, 연구대상자의 일반적 특성과 직무스트레스, 조직지원인식, 대처방식, 전문직 삶의 질 정도를 파악한다. 둘째, 연구대상자의 일반적 특성에 따른 전문직 삶의 질 수준을 확인한다. 셋째, 직무스트레스, 조직지원인식, 대처방식, 전문직 삶의 질 간의 상관관계를 분석한다. 넷째, 직무스트레스가 전문직 삶의 질에 미치는 영향에서 조직지원인식과 대처방식의 매개효과를 검증한다.
1. 연구설계
본 연구는 상급종합병원과 종합병원에 근무하는 간호관리자를 대상으로 직무스트레스가 전문직 삶의 질에 영향을 미치는 경로에서 조직지원인식과 대처방식이 매개변수로 작용하는지를 분석하는 서술적 횡단적 조사연구이다.
2. 연구대상
본 연구의 대상은 서울, 경기 소재 상급종합병원과 종합병원에서 간호관리 업무를 수행하고 있는 일선 간호관리자(수간호사, unit manager, 파트장 등) 중에서 연구의 목적을 충분히 이해하고 자발적으로 참여에 동의한 자로 선정하였다. 적정 표본 수 산출은 G*Power ver. 3.1.9.7 프로그램(Heinrich-Heine-Universität Düsseldorf)을 이용하여 다중회귀분석 조건에서 선행연구의 전문직 삶의 질 하위요인별 회귀모형에서 산출된 효과크기(f2=.09, .11, .12)의 평균값을 기반으로[23-25], 효과크기 .11, 유의수준 .05, 검정력 .95, 예측 변인 15개(일반적 특성 12개, 독립변수 3개)를 기준으로 하였다. 이 조건에서 필요한 표본 수는 266명이었으며, 약 10%의 탈락률을 고려하여 총 300명을 대상으로 설문조사를 실시하였으며, 예측변수 또는 종속변수에 대한 응답이 누락된 1명을 제외한 299명의 자료를 분석에 활용하였다.
3. 연구도구

1) 일반적 특성

대상자의 일반적 특성은 연령, 성별, 결혼상태, 종교, 최종학력, 근무기관, 근무부서, 간호사로 근무한 총 근무경력, 간호관리자 경력, 관리 간호사 수, 주관적 건강상태, 최근 1개월간 주 평균 근무시간의 총 12문항으로 조사하였다.

2) 직무스트레스

직무스트레스는 Chang 등[26]이 개발한 한국형 직무스트레스 측정도구 단축형(Korean Occupational Stress Scale-Short Form)을 사용하여 측정하였다. 이 척도는 총 24개 문항의 7개 하위영역으로 구성되었으며, 직무요구(4문항), 직무자율성(4문항), 대인관계갈등(3문항), 직무불안정(2문항), 조직체계(4문항), 보상부적절(3문항), 직장문화(4문항)로 구성되었다. 각 문항은 4점 Likert 척도(1점: 전혀 그렇지 않다–4점: 매우 그렇다)로 측정되며, 부정문항은 역환산하여 점수가 높을수록 직무스트레스 정도가 높은 것을 의미한다. 본 도구의 Cronbach’s α는 개발 당시 .82였고, 본 연구에서는 .83이었다.

3) 조직지원인식

조직지원인식은 Eisenberger 등[19]이 개발한 척도를 기반으로, Woo 등[27]의 연구에서 7문항으로 번안, 수정, 보완한 도구를 사용하였다. 이 도구는 총 7문항으로 구성되었으며, 각 문항은 5점 Likert 척도(1점: 전혀 그렇지 않다–5점: 매우 그렇다)로 측정되며, 점수가 높을수록 조직지원인식 정도가 높은 것을 의미한다. 본 도구의 Cronbach’s α는 개발 당시 .95였고, Woo 등[27]의 연구에서는 .83, 본 연구에서는 .92였다.

4) 대처방식

대처방식은 Lazarus와 Folkman [20]이 개발한 스트레스 대처방식척도(The Way Of Stress Coping Checklist)를 기반으로, Kim과 Lee [28]가 번안 및 요인분석을 통해 수정한 도구를 Park [29]이 재구성한 도구를 사용하였다. 이 도구는 적극적 대처(문제 중심 대처, 사회적 지지추구 대처)와 소극적 대처(정서 중심 대처, 소망적 사고 대처)로 구분되며, 각 하위영역별 6문항씩 총 24문항으로 구성되었다. 각 문항은 4점 Likert 척도(1점: 전혀 그렇지 않다–4점: 매우 그렇다)로 측정되며, 점수가 높을수록 해당 대처방식을 더 많이 사용하는 것을 의미한다. 본 도구의 Cronbach’s α는 개발 당시 .70이었으며, Park [29]의 연구에서는 전체 .81, 하위요인별로 문제 중심 대처 .62, 사회적 지지추구 대처 .69, 정서 중심 대처 .79, 소망적 사고 .84였다. 본 연구의 Cronbach’s α는 전체 .82였고, 적극적 대처는 .82(문제 중심 대처 .76, 사회적 지지추구 대처 .78), 소극적 대처는 .75(정서 중심 대처 .66, 소망적 사고 .72)였다.

5) 전문직 삶의 질

전문직 삶의 질은 Stamm [10]이 개발한 ProQOL ver. 5 (https://progol.org/)를 기반으로, Kim과 Lee [30]가 번안 및 수정한 도구를 사용하였다. 이 도구는 총 30문항으로, 공감만족(10문항), 소진(10문항), 이차 외상성 스트레스(10문항)의 세 가지 하위영역으로 구성되어 있으며, Stamm [10]은 전문직 삶의 질을 긍정적 차원(공감만족)과 부정적 차원(소진, 이차 외상성 스트레스)으로 구분된 다차원적 개념으로 제시하였으며, 세 가지 하위요인은 서로 다른 심리적 구성 개념을 측정하므로 각각을 독립적으로 분석할 것을 권고하였다. 이에 본 연구에서도 전문직 삶의 질의 세 가지 하위요인을 독립적으로 구분하여 점수를 산출하고, 각 하위요인을 별도의 종속변수로 설정하여 분석하였다. 각 문항은 5점 Likert 척도(1점: 전혀 그렇지 않다–5점: 거의 언제나 그렇다)로 측정되었으며, 부정문항은 역환산하여 점수를 산출하였다. 점수가 높을수록 공감만족, 소진, 이차 외상성 스트레스 수준이 높은 것을 의미한다. 본 도구의 Cronbach’s α는 개발 당시 공감만족 .88, 소진 .75, 이차 외상성 스트레스 .81이었으며, 본 연구에서는 공감만족 .89, 소진 .75, 이차 외상성 스트레스 .82였다.
4. 자료수집 방법
본 연구의 자료수집은 2024년 6월 28일부터 2025년 5월 31일까지 서울 및 경기 지역의 상급종합병원과 종합병원에 근무하는 간호관리자를 대상으로 편의표집을 실시하였다. 연구대상자는 병원 간호부에 협조 공문을 발송하여 허락을 받고, 연구팀에 자발적으로 연락한 대상자에게 문자 메시지 또는 이메일을 통해 연구목적, 내용, 절차가 포함된 안내문과 온라인 설문 링크를 제공하였다. 연구 참여는 전적으로 자발적으로 이루어졌으며, 대상자는 연구에 대한 설명을 충분히 숙지한 후 동의 항목에 체크한 경우에만 설문 응답이 가능하도록 하였다. 최종적으로 총 300명의 간호관리자가 조사에 참여하였으며, 설문 응답에는 약 20분이 소요되었다.
5. 윤리적 고려
본 연구는 가톨릭대학교 성의교정 임상연구심사위원회의 심의를 거쳐 연구승인을 받은 후 수행되었다(MIRB 20240628-001). 연구도구는 원저자 및 번안자로부터 이메일을 통해 사용 동의를 받은 후 활용하였다. 연구 참여를 원하는 대상자가 연구팀에 연락을 하면, 대상자에게 문자메시지 또는 이메일을 통해 연구목적, 익명성 및 비밀보장에 대한 내용을 안내하였으며, 연구 참여의 자발성을 보장하기 위해 원하지 않을 경우 언제든지 참여를 중단할 수 있으며, 철회하더라도 어떠한 불이익도 발생하지 않음을 명시하였다. 개인정보 수집 및 이용에 동의한 경우만 휴대전화 번호를 수집하였고, 연구 참여에 대한 답례로 온라인 음료 쿠폰을 제공하였다. 답례품 제공 후에는 수집된 연락처를 즉시 삭제하였다. 수집된 자료는 비밀 보장을 위해 온라인 설문을 통해 얻은 정보를 암호화하여 보관하고, 연구자 외 접근이 불가능하도록 관리하였다. 또한 본 연구에서 수집된 자료는 연구 이외의 목적이나 2차적 활용을 금지하며, 연구 종료 후 3년 이내에 복구 불가능한 방식으로 영구 삭제 및 폐기할 예정이다.
6. 자료분석 방법
수집된 자료는 IBM SPSS Statistics ver. 27.0 (IBM Corp.) 프로그램을 사용하여 분석하였다. 연구대상자의 일반적 특성 및 직무스트레스, 조직지원인식, 대처방식, 전문직 삶의 질 수준은 빈도와 백분율, 평균과 표준편차를 이용하여 분석하였다. 대상자의 일반적 특성에 따른 전문직 삶의 질의 차이를 검정하기 위해 독립표본 t-test, one-way analysis of variance, Mann-Whitney U test를 실시하였으며, 변수 간 유의한 차이가 있는 경우 Scheffé test를 추가로 수행하였다. 매개효과의 정규성 검토를 위해 왜도와 첨도를 분석하였고, 측정 변수 간 상관관계는 Pearson’s correlation coefficient를 이용하여 검토하였다. 매개효과 분석에 앞서 독립변수 간 다중공선성과 자기상관 여부를 점검하고, 잔차 분석을 통해 회귀모형의 적합성을 평가하였다. 직무스트레스가 전문직 삶의 질에 미치는 영향에서 조직지원인식과 대처방식의 매개효과는 Hayes [31]의 PROCESS macro Model 4를 적용하여 분석하였으며, 간접효과의 유의성을 검증하기 위해 95% 신뢰구간에서 10,000회 부트스트랩(bootstrap)을 수행하였다.
1. 연구대상자의 일반적 특성과 전문직 삶의 질 차이
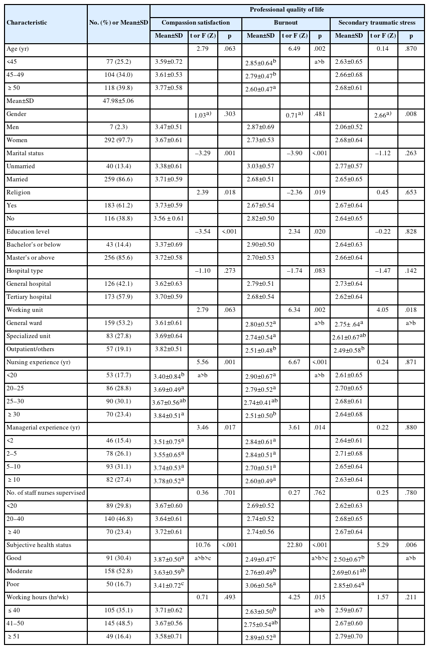
연구대상자의 평균 연령은 48.0세였으며, 50세 이상이 118명(39.5%)으로 가장 많았다. 여성은 292명(97.7%)이었고, 기혼자는 259명(86.6%)이었다. 종교가 있는 대상자는 183명(61.2%), 석사 이상 학력자는 256명(85.6%)이었다. 근무기관은 상급종합병원이 173명(57.9%)이었으며, 근무부서는 일반병동이 159명(53.2%)이었다. 간호경력은 25–30년이 90명(30.1%), 관리자 경력은 5–10년이 93명(31.1%)으로 가장 많았다. 관리 간호사 수는 20–40명이 140명(46.8%)이었으며, 주관적 건강상태는 보통이 158명(52.9%)으로 가장 많았다. 주당 근무시간은 41–50시간이 145명(48.5%)으로 확인되었다(Table 1).
대상자의 일반적 특성에 따른 전문직 삶의 질 차이를 분석한 결과, 공감만족은 결혼 상태(Z=–3.29, p=.001), 종교 유무(t=2.39, p=.018), 학력(t=−3.54, p<.001), 간호경력(F=5.56, p=.001), 관리자 경력(F=3.46, p=.017), 주관적 건강상태(F=10.76, p<.001)에 따라 유의한 차이를 보였다. 공감만족은 기혼, 종교가 있는 경우, 석사 이상, 간호경력 20년 이상, 주관적 건강상태를 좋음으로 인식한 간호관리자에서 유의하게 높게 나타났다. 소진은 연령(F=6.49, p=.002), 결혼 상태(Z=−3.90, p<.001), 종교 유무(t=−2.36, p=.019), 학력(t=2.34, p=.020), 근무부서(F=6.34, p=.002), 간호 경력(F=6.67, p<.001), 관리자 경력(F=3.61, p=.014), 주관적 건강상태(F=22.80, p<.001), 주당 근무시간(F=4.25, p=.015)에 따라 유의한 차이를 보였으며, 50세 미만, 미혼, 종교가 없는 경우, 학부만 졸업한 경우, 일반 병동이나 특수 부서인 경우, 간호 경력 30년 미만, 주관적 건강상태를 나쁨으로 인식한 경우, 주당 근무시간이 51시간 이상인 경우에서 소진 수준이 높았다. 이차 외상성 스트레스는 성별(t=−2.66, p=.008), 근무부서(F=4.05, p=.018), 주관적 건강상태(F=5.29, p=.006)에 따라 유의한 차이를 보였으며, 여성, 일반 병동 근무자, 주관적 건강상태를 나쁨으로 인식한 경우에서 외상성 스트레스 수준이 유의하게 높았다(Table 1).
2. 대상자의 직무스트레스, 조직지원인식, 대처방식 및 전문직 삶의 질 정도
본 연구에서 변수의 정규성 가정을 검토한 결과, 왜도는 −0.62에서 0.28, 첨도는 −0.27에서 1.79의 범위로 나타났다. 이는 Kline [32]이 제시한 기준인 왜도의 절대값 3 미만, 첨도의 절대값 7 미만으로 정규성 가정을 충족하였다.
대상자의 직무스트레스 점수는 4점 만점에 평균 2.28±0.32점이었으며, 조직지원인식 점수는 5점 만점에 평균 2.88±0.73점으로 나타났다. 적극적 대처 점수는 4점 만점에 평균 3.01±0.56점이었고, 소극적 대처 점수는 평균 2.52±0.37점이었다. 전문직 삶의 질의 하위요인별 평균 점수는 5점 만점에 공감만족은 3.68±0.60점, 소진은 2.50±0.49점, 이차 외상성 스트레스는 2.64±0.63점으로 나타났다(Table 2).
3. 대상자의 직무스트레스, 조직지원인식, 대처방식 및 전문직 삶의 질 간의 상관관계
간호관리자의 직무스트레스가 높을수록 조직지원인식(r=–.62, p<.001), 적극적 대처(r=–.18, p<.002), 공감만족(r=–.48, p<.001)은 낮았으며, 소진(r=.51, p<.001)과 이차 외상성 스트레스(r=.17, p=.003)는 높았다. 또한 조직지원인식이 높을수록 적극적 대처(r=.13, p=.026), 소극적 대처(r=.13, p=.031), 공감만족(r=.48, p<.001)은 높았고, 소진(r=–.33, p<.001)은 낮았다. 대처방식의 경우 적극적 대처를 많이 사용할수록 소극적 대처(r=.30, p<.001)와 공감만족(r=.40, p<.001)은 높았으며, 소진(r=–.23, p<.001)은 낮았다. 또한 소극적 대처를 많이 사용할수록 공감만족(r=.13, p=.021)과 이차 외상성 스트레스(r=.28, p<.001)는 높았다. 전문직 삶의 질 하위요인 간 관계에서는 공감만족이 높을수록 소진(r=–.55, p<.001)은 낮았으며, 소진이 높을수록 이차 외상성 스트레스(r=.56, p<.001)는 높았다(Table 3).
4. 대상자의 직무스트레스가 전문직 삶의 질에 미치는 영향에서 조직지원인식과 대처방식의 매개효과
직무스트레스가 전문직 삶의 질에 미치는 영향에서 조직지원인식과 대처방식의 매개효과를 검증하기 위해 Hayes [31]의 PROCESS Macro Model 4를 적용한 병렬 다중 매개모형(parallel multiple mediator model) 분석을 실시하였다. 단변량 분석에서 유의한 차이를 보인 변수들을 통제변수로 포함하였다. 회귀모형의 적합성을 검토한 결과, 독립변수 간 공차한계(tolerance)는 0.50−0.96으로 0.10 이상이었고, 분산팽창지수(variance inflation factor [VIF])는 1.04−2.02 범위로 모두 10 미만으로 나타나 다중공선성의 문제가 없는 것으로 확인되었다. 또한 Durbin-Watson 검정값은 1.76−2.11로 2에 근접하여 잔차의 자기상관 문제도 없는 것으로 확인되었다[33].
분석 결과, 직무스트레스가 공감만족에 미치는 직접효과는 통계적으로 유의하였다(β=–.25, p<.001). 또한 조직지원인식과 적극적 대처를 통한 간접효과가 통계적으로 유의하여, 직무스트레스가 이들 변수를 매개로 공감만족에 간접적으로 영향을 미치는 경로가 확인되었다(Figure 1D). 직무스트레스는 조직지원인식(β=–.62, p<.001)과 적극적 대처(β=–.18, p<.010)에 대한 직접효과가 통계적으로 유의하였으나, 소극적 대처에는 통계적으로 유의하지 않았다(β=–.03, p=.596). 조직지원인식(β=.29, p<.001)과 적극적 대처(β=.32, p<.001)는 공감만족에 대한 직접효과가 통계적으로 유의하였으며, 소극적 대처는 통계적으로 유의하지 않았다(β<.01, p=.904). 총 간접효과는 통계적으로 유의하였으며(B=–0.44; 95% confidence interval [CI], –0.61 to –0.27), 조직지원인식(B=–0.33; 95% CI, −0.49 to –0.19)과 적극적 대처의 매개효과(B=–0.11; 95% CI, −0.20 to –0.03)는 통계적으로 유의하였다. 반면, 소극적 대처의 매개효과는 통계적으로 유의하지 않았다(B<0.01; 95% CI, −0.01 to 0.02) (Table 4).
직무스트레스가 소진에 미치는 직접효과는 통계적으로 유의하였다(β=.45, p<.001). 또한 적극적 대처를 통한 간접효과가 통계적으로 유의하여, 직무스트레스가 적극적 대처를 매개로 소진에 간접적으로 영향을 미치는 경로가 확인되었다(Figure 1E). 직무스트레스는 조직지원인식(β=– .62, p<.001)과 적극적 대처(β=–.18, p<.010)에 대한 직접효과가 통계적으로 유의하였으나, 소극적 대처에는 통계적으로 유의하지 않았다(β=–.03, p=.596). 조직지원인식은 소진에 대한 직접효과가 통계적으로 유의하지 않았고(β=–.05, p=.466), 적극적 대처는 직접효과가 통계적으로 유의하였다(β=–.19, p<.001). 반면, 소극적 대처는 소진에 대한 직접효과가 통계적으로 유의하였다(β=.15, p<.010). 총 간접효과는 통계적으로 유의하지 않았으나(B=0.09; 95% CI, −0.03 to 0.22), 적극적 대처의 매개효과(B=0.05; 95% CI, 0.01 to 0.11)는 통계적으로 유의하였다(Table 4).
직무스트레스가 이차 외상성 스트레스에 미치는 직접효과는 통계적으로 유의하였다(β=.32, p<.001). 또한 조직지원인식을 통한 간접효과가 통계적으로 유의하여, 직무스트레스가 조직지원인식을 매개로 이차 외상성 스트레스에 간접적으로 영향을 미치는 경로가 확인되었다(Figure 1F). 직무스트레스는 조직지원인식(β=–.62, p<.001)과 적극적 대처(β=–.18, p<.010)에 대한 직접효과가 통계적으로 유의하였으나, 소극적 대처에는 통계적으로 유의하지 않았다(β=–.03, p=.596). 조직지원인식(β=–.24, p<.001)과 소극적 대처(β=–.27, p<.001)는 이차 외상성 스트레스에 대한 직접효과가 통계적으로 유의하였으나, 적극적 대처의 직접효과는 통계적으로 유의하지 않았다(β=–.02, p=.711). 총 간접효과는 통계적으로 유의하였으며(B=–0.30; 95% CI, −0.51 to –0.11), 조직지원인식의 매개효과(B=–0.29; 95% CI, −0.49 to –0.11)는 통계적으로 유의하였다(Table 4).
본 연구는 상급종합병원과 종합병원에 근무하는 간호관리자를 대상으로 직무스트레스가 전문직 삶의 질에 미치는 영향에서 조직지원인식과 대처방식의 매개효과를 검증하였다. 분석결과, 전문직 삶의 질 하위요인 중 공감만족에는 조직지원인식과 적극적 대처가 유의한 매개효과를 보였으며, 소진에는 적극적 대처가, 이차 외상성 스트레스에는 조직지원인식이 유의한 매개효과를 나타냈다. 반면, 소극적 대처는 세 하위요인 모두에서 유의한 매개효과를 보이지 않았다. 이는 간호관리자의 역할이 문제 해결과 의사결정에 중점을 두는 특성이 있어, 회피ㆍ억제와 같은 소극적 대처는 스트레스 반응을 완화하거나 정서적 결과를 조절하는 데 충분히 기능하지 못했을 가능성이 있다. 이러한 결과는 전문직 삶의 질을 구성하는 각 하위요인이 서로 다른 경로와 자원에 의해 영향을 받는다는 사실을 보여주며, 공감만족, 소진, 이차 외상성 스트레스의 특성과 작용 기제를 고려한 전략이 필요함을 시사한다.
본 연구에서 간호관리자의 전문직 삶의 질 하위요인 중 공감만족의 평균 점수는 3.68점으로, 간호관리자를 대상으로 한 Remegio 등[7]의 연구결과(3.81점)와 유사한 수준이었으며, 임상 간호사를 대상으로 선행연구에서 보고된 평균 점수(3.22–3.29점)보다는 다소 높았다[23,24]. 이는 간호관리자가 복잡하고 높은 책임감이 요구되는 조직환경 속에서도 직무에 대한 긍정적 정체성과 성취감을 유지하고 있음을 시사한다. 또한 본 연구에서 간호관리자 경력이 증가할수록 공감만족 수준도 함께 높아진 결과는, 임상 간호사가 환자 간호를 통해 경험하는 공감만족이 간호관리자는 리더십 발휘, 구성원 간 관계 조율, 의사결정 등의 과정에서 형성된 정서적 자원이 공감 자원 형성에 기여한다는 기존 연구결과와도 부합한다[7]. 본 연구에서 간호관리자의 소진 평균 점수는 2.50점으로, 간호관리자를 대상으로 한 선행연구 결과(2.62점)와 유사하였으나[7], 임상 간호사를 대상으로 한 연구에서 보고된 결과(2.33–2.34점)보다는 높은 수준이었다[11,12]. 이는 간호관리자가 인력 배치, 갈등 조정, 부서 운영, 조직 성과에 대한 책임 등 복합적인 역할 요구에 지속적으로 노출되며 높은 직무 요구를 경험한다는 선행연구 결과가 이를 뒷받침한다[2]. 본 연구에서 이차 외상성 스트레스의 평균은 2.64점으로, 이전 간호관리자 대상 연구에서 보고된 수준 (2.40점)보다 높게 나타났다[7]. 그러나 해당 척도의 문항 중 ‘대상자가 겪은 심리적ㆍ신체적 트라우마를 마치 내가 경험하는 것처럼 느낀다’와 같은 문항은 직접 간호 제공의 비중이 낮은 간호관리자의 직무 특성을 충분히 반영하지 못할 수 있어 점수 해석 시 직무 맥락을 고려할 필요가 있다. 임상 간호사는 환자의 고통, 죽음, 위기 상황에 직접적으로 노출되면서 정서적 부담을 경험하는 데 비해[8,34], 간호관리자는 인력 부족, 중증 환자 배치 의사결정, 갈등 상황 관리, 구성원에 대한 정서 지지 제공 등 조직 운영 전반에서 간접적 외상 경험과 책임 부담이 누적될 수 있다[2,35]. 즉 간호관리자의 소진과 이차 외상성 스트레스는 조직적 책임과 리더십 부담이라는 고유한 직무 맥락에서 이해될 필요가 있다. 이에, 간호관리자의 전문직 삶의 질을 증진하기 위해서는 이들이 경험하는 정서적 부담의 특수성을 반영한 개입전략이 요구된다. 조직 차원의 지지체계 구축을 통해 정서적 소진과 이차 외상성 스트레스를 완화하는 한편, 관리자 역할 수행과정에서 형성되는 공감 자원을 강화할 수 있는 체계적 지원이 병행되어야 할 것이다.
본 연구에서 간호관리자의 직무스트레스가 공감만족에 미치는 영향에서 조직지원인식과 적극적 대처의 부분 매개효과가 확인되었다. 이는 조직지원인식이 직무에 대한 긍정적 의미 부여와 심리적 자원을 강화하고, 직무 수행과정에서 정서적 안정과 회복을 촉진한다는 선행연구 결과와 일치한다[13,20]. 특히 간호관리자를 대상으로 한 최근 연구에서 조직지원인식은 직무스트레스를 완화하고 업무 관련 웰빙과 성과를 증진시키는 조직 자원으로 보고되었으며[2,13,36], 이는 조직지원인식이 공감만족의 매개경로로 작용한다는 본 연구결과를 뒷받침한다. 또한 적극적 대처는 스트레스 상황에서 문제 해결 중심의 대응을 통해 정서적 회복과 긍정 정서를 증진시키는 요인으로 보고되어 왔으며[6], 간호관리자를 대상으로 한 연구에서도 이러한 대처방식이 직무스트레스의 부정적 영향을 완충하고 업무 적응을 증진시키는 요인으로 확인되었다[13]. 한편, 간호관리자의 직무 스트레스는 단순한 업무 부담을 넘어 인력 배치, 갈등 조정, 부서 운영 책임 등 조직 운영 전반의 구조적 압력에서 비롯되는 특성을 지닌다[2,13]. 이에 간호관리자의 공감 자원을 유지하고 강화하기 위해서는 조직 차원과 개인 차원의 이중 개입전략이 필요하다. 조직 차원에서는 상호 인정 문화 구축, 간호관리자를 위한 리더십 역량 강화 프로그램 제공, 적정 인력 배치 및 업무 재조정과 같은 구조적 환경 개선이 요구되며[2,8,13], 개인 차원에서는 문제해결 중심 대처기술 습득, 마음챙김 기반 스트레스 관리프로그램 참여, 정서조절 훈련을 통해 적극적 대처 역량을 강화하는 접근이 효과적일 수 있다[6]. 이러한 조직 차원의 지지와 적극적 대처 역량 증진은 간호관리자의 공감만족을 향상시키고, 결과적으로 직무 지속 가능성과 조직 몰입을 강화하는 실천적 간호전략으로 작용할 수 있을 것이다.
본 연구에서는 간호관리자의 직무스트레스가 소진에 미치는 영향에서 적극적 대처의 부분 매개효과가 확인되었다. 이는 간호관리자가 스트레스 상황에서 문제 해결 중심의 능동적 대처전략을 활용할 경우, 정서적 소진을 일정 수준 완화할 수 있음을 보여준다. 선행연구에서도 적극적 대처는 자율성과 통제감을 회복시키고 심리적 자원의 고갈을 지연시키는 요인으로 보고되었으며[37,38], 적극적 대처 수준이 높은 임상 간호사에서 소진 점수가 유의하게 낮은 것으로 확인되었다[39]. 또한 간호관리자의 소진 수준이 높을수록 관리자 역할 유지 가능성이 감소하고, 조직적 부담이 증가한 환경에서는 임상 간호사보다 소진 수준이 높아질 수 있음이 보고되었다[8,15]. 다만, 본 연구에서 직무 스트레스가 소진에 미치는 영향에서 적극적 대처의 간접효과는 유의하였음에도 불구하고 그 효과는 제한적이었다. 이는 간호관리자의 소진에 있어 직무스트레스의 직접적 영향이 크며, 적극적 대처와 같은 개인적 자원만으로는 이를 충분히 완충하기 어려울 수 있음을 의미한다. 적극적 대처는 자기조절 능력, 통제감 회복과 연계되는 중요한 개인적 자원이지만[37], 조직 내 스트레스가 과도한 상황에서는 소진 완화 효과가 제한될 수 있다[6]. 따라서 간호관리자의 소진을 감소시키기 위해서는 적극적 대처 역량을 강화하는 자기관리 교육과 스트레스 조절 훈련이 필요하다. 특히 마음챙김 기반 개입은 스트레스 반응 감소에 효과적인 중재로 보고되었다[40,41]. 또한 소진을 유발하는 조직적 요인을 파악하고 이 결과를 기반으로 업무 부담의 조정, 의사결정 권한의 합리적 배분, 업무 구조의 개선 등과 같은 조직 차원의 실질적 개선이 병행될 때[2,12], 간호관리자의 소진 감소와 전문직 삶의 질 향상이 효과적으로 이어질 수 있을 것이다.
본 연구에서 간호관리자의 직무스트레스가 이차 외상성 스트레스에 미치는 영향에서 조직지원인식의 부분 매개효과가 확인되었다. 조직지원인식이 높을수록 이차 외상성 스트레스 반응이 감소하는 본 연구의 결과는 조직으로부터 존중과 배려를 받고 있다는 인식이 심리적 안전감을 증진시키고 외상성 정서 반응을 완화한다는 선행연구 결과와 일치한다[16,24,42]. 이차 외상성 스트레스는 개인의 대처 역량보다는 조직적 정서 자원에 더 민감하게 반응하는 특성이 있으며[8], 간호관리자의 외상 관련 정서 반응이 조직의 지지 수준과 직무환경의 안정성에 따라 달라질 수 있다고 제시된 바 있다[12]. 이는 간호관리자가 직접 간호의 비중이 낮더라도 인력 관리, 위기 상황 조율, 갈등 관리과정에서 반복적인 간접 외상 경험에 노출될 수 있음을 시사한다[7,12]. 다만, 본 연구에서는 조직지원인식보다 직무스트레스의 직접 효과가 크게 나타나, 간호관리자가 경험하는 이차 외상성 스트레스를 예방하기 위한 조직 차원이 개입 필요성이 강조된다. 이에 간호관리자의 직무스트레스 발생을 예방하고 트라우마 상황에 효과적으로 대응하기 위한 지원체계 구축, 위기 대응 프로토콜 마련, 정서적 지지 문화와 상호 인정체계 강화를 포함한 실질적인 개입이 요구된다[8,12].
본 연구는 다음과 같은 제한점을 지닌다. 첫째, 서울 및 경기 지역의 상급종합병원과 종합병원에 근무하는 간호관리자를 대상으로 편의 표집을 실시하였으며, 협조 기관 내 간호관리자의 자발적 참여에 의존하여 일부 기관에 표본이 편중되었을 가능성이 있다. 향후 연구에서는 다양한 지역과 의료기관 유형을 포함한 표집전략이 요구된다. 둘째, 단일 시점에서 수집된 횡단적 자료를 기반으로 분석하여 인과관계를 명확히 규명하는 데에는 한계가 있다. 셋째, 간호관리자의 전문직 삶의 질에 영향을 미치는 일반적 특성을 충분히 수집하고자 노력하였으나 성격 특성, 조직문화 등과 같은 변수를 충분히 포괄하지 못하여 결과에 영향을 주었을 가능성이 있다. 넷째, 본 연구에서 사용된 전문직 삶의 질 도구는 다양한 돌봄 직종을 대상으로 개발되어[10], 간호관리자 집단에 적용 시 일부 문항의 내용 적합도와 민감도가 제한적일 수 있다. 이에 따라 추후 연구에서는 간호관리자의 관리 및 리더십 역할을 반영한 측정도구의 개발이 요구된다. 다섯째, 모든 변수는 자기보고 방식으로 측정되어 사회적 바람직성 또는 회상 편향의 가능성이 있다. 여섯째, 장기간의 자료수집으로 외생변수의 영향을 완전히 배제하기 어려우며, 향후 연구에서는 설문기간을 단축하거나 종단적 연구설계를 통해 자료수집 기간으로 인한 영향을 최소화할 필요가 있다. 일곱째, 본 연구에서는 전문직 삶의 질의 각 하위요인을 독립적으로 분석하여 요인 간 구조적 상호작용을 충분히 반영하지 못한 제한이 있다.
그럼에도 불구하고, 본 연구는 간호관리자를 대상으로 직무스트레스가 전문직 삶의 질에 미치는 영향을 조직지원인식과 대처전략을 중심으로 탐색함으로써, 간호관리자의 전문직 삶의 질을 이해하는 심리사회적 경로에 대한 구조적 통찰을 제공했다는 점에서 학문적 의의가 있다. 또한 본 연구는 간호관리자의 전문직 삶의 질 증진을 위해서 개인의 소극적 대처보다는 적극적 대처 역량을 강화할 수 있는 전략과 조직 지원이 함께 고려되어야 함을 강조하였다. 특히 향후 간호관리자의 전문직 삶의 질 향상을 위한 직무스트레스 완화, 조직지원인식 제고, 적극적 대처 역량 강화를 위한 교육 및 실천전략 개발의 필요성을 제시했다는 점에서 의의가 있다.
본 연구는 상급종합병원과 종합병원에 근무하는 간호관리자를 대상으로 직무스트레스가 전문직 삶의 질에 미치는 영향에서 조직지원인식과 대처전략의 매개효과를 검증하였다. 분석결과, 공감만족에서는 조직지원인식과 적극적 대처가 모두 유의한 매개경로로 작용하였고, 소진에서는 적극적 대처가, 이차 외상성 스트레스에서는 조직지원인식이 유의한 매개효과를 보여 전문직 삶의 질의 하위요인에 따라 매개 요인이 상이한 것으로 나타났다. 다만, 소극적 대처는 전문직 삶의 질의 모든 하위요인에서 유의한 매개효과를 보이지 않았다. 이러한 결과는 간호관리자의 전문직 삶의 질이 단순한 스트레스 반응이 아닌 조직 차원의 지지와 개인의 대처 역량이 상호작용하는 복합적 구조에서 형성됨을 제시하며, 하위요인의 특성과 요구에 부합하는 차별화된 개입전략의 필요성을 뒷받침한다.
본 연구의 결과를 토대로 향후 연구를 위해 다음과 같은 제언을 한다. 첫째, 간호관리자의 직무 스트레스와 전문직 삶의 질 간의 인과 관계를 명확히 확인하기 위해 종단적 연구를 제언한다. 둘째, 자기보고식 자료의 한계를 보완하고 심층적 이해를 강화하기 위해 질적 연구 또는 혼합방법 연구가 필요하다. 셋째, 조직지원인식 증진과 적극적 대처 역량 강화를 위한 정서 조절 훈련, 문제 해결 중심 교육, 동료 협력 강화 프로그램 등의 실천적 중재방안을 개발하고 효과를 검증하는 연구가 요구된다. 넷째, 간호관리자의 직무 특성과 역할을 반영하여 전문직 삶의 질을 보다 타당하게 평가할 수 있는 측정도구의 개발이 요구된다. 마지막으로, 간호관리자의 전문직 삶의 질 향상과 직무스트레스 완화를 위한 조직 및 제도적 지원 방안을 체계적으로 개발하고 효과를 검증하는 후속 연구를 제언한다.

Conflicts of Interest

No potential conflict of interest relevant to this article was reported.

Acknowledgements

None.

Funding

This research received no external funding.

Data Sharing Statement

Please contact the corresponding author for data availability.

Supplementary Data

Supplementary data to this article can be found online at https://doi.org/10.4040/jkan.25099.

Author Contributions

Conceptualization or/and Methodology: SIY, MJC. Data curation or/and Analysis: SIY, MJC. Funding acquisition: none. Investigation: SIY. Project administration or/and Supervision: MJC. Resources or/and Software: SIY. Validation: SIY, MJC. Visualization: SIY. Writing: original draft or/and Review & Editing: SIY, MJC. Final approval of the manuscript: all authors.

Fig. 1.
Mediating effects of perceived organizational support and coping in the relationship between job stress and professional quality of life. (A–C) Conceptual framework of the mediating model. (D–F) Statistical model of the mediating effect. (A, D) Compassion satisfaction; (B, E) Burnout; (C, F) Secondary traumatic stress. AC, active coping; BO, burnout; c, total effect; c', direct effect; CS, compassion satisfaction; JS, job stress; PC, passive coping; POS, perceived organizational support; STS, secondary traumatic stress. *p<.05. **p<.001.
jkan-25099f1.jpg
Table 1.
Differences in professional quality of life according to participants’ general characteristics (N=299)
Characteristic n (%) or Mean±SD Professional quality of life
Compassion satisfaction Burnout Secondary traumatic stress
Mean±SD t or F (Z) p Mean±SD t or F (Z) p Mean±SD t or F (Z) p
Age (yr) 2.79 .063 6.49 .002 0.14 .870
 <45 77 (25.7) 3.59±0.72 2.85±0.64b a>b 2.63±0.65
 45–49 104 (34.8) 3.61±0.53 2.79±0.47b 2.66±0.68
 ≥50 118 (39.5) 3.77±0.58 2.60±0.47a 2.68±0.61
 Mean±SD 47.98±5.06
Gender –1.03a) .303 0.71a) .481 –2.66a) .008
 Men 7 (2.3) 3.47±0.51 2.87±0.69 2.06±0.52
 Women 292 (97.7) 3.67±0.61 2.73±0.53 2.68±0.64
Marital status –3.29 .001 –3.90 <.001 1.12 .263
 Unmarried 40 (13.4) 3.38±0.61 3.03±0.57 2.77±0.57
 Married 259 (86.6) 3.71±0.59 2.68±0.51 2.65±0.65
Religion 2.39 .018 –2.36 .019 0.45 .653
 Yes 183 (61.2) 3.73±0.59 2.67±0.54 2.67±0.64
 No 116 (38.8) 3.56±0.61 2.82±0.50 2.64±0.65
Education level –3.54 <.001 2.34 .020 –0.22 .828
 Bachelor’s or below 43 (14.4) 3.37±0.69 2.90±0.50 2.64±0.63
 Master’s or above 256 (85.6) 3.72±0.58 2.70±0.53 2.66±0.64
Hospital type –1.10 .273 1.74 .083 1.47 .142
 General hospital 126 (42.1) 3.62±0.63 2.79±0.51 2.73±0.64
 Tertiary hospital 173 (57.9) 3.70±0.59 2.68±0.54 2.62±0.64
Working unit 2.79 .063 6.34 .002 4.05 .018
 General ward 159 (53.2) 3.61±0.61 2.80±0.52a a>b 2.75±0.64a a>b
 Specialized unit 83 (27.8) 3.69±0.64 2.74±0.54a 2.61±0.67ab
 Outpatient/others 57 (19.0) 3.82±0.51 2.51±0.48b 2.49±0.58b
Nursing experience (yr) 5.56 .001 6.67 <.001 0.24 .871
 <20 53 (17.7) 3.40±0.84b a>b 2.90±0.67a a>b 2.61±0.65
 20–25 86 (28.8) 3.69±0.49a 2.79±0.52a 2.70±0.65
 25–30 90 (30.1) 3.67±0.56ab 2.74±0.41ab 2.68±0.61
 ≥30 70 (23.4) 3.84±0.51a 2.51±0.50b 2.64±0.68
Managerial experience (yr) 3.46 .017 3.61 .014 0.22 .880
 <2 46 (15.4) 3.51±0.75a 2.84±0.61a 2.64±0.61
 2–5 78 (26.1) 3.55±0.65a 2.84±0.51a 2.71±0.68
 5–10 93 (31.1) 3.74±0.53a 2.70±0.51a 2.65±0.64
 ≥10 82 (27.4) 3.78±0.52a 2.60±0.49a 2.63±0.64
No. of staff nurses supervised 0.36 .701 0.27 .762 0.25 .780
 <20 89 (29.8) 3.67±0.60 2.69±0.52 2.62±0.63
 20–40 140 (46.8) 3.64±0.61 2.74±0.52 2.68±0.65
 ≥40 70 (23.4) 3.72±0.61 2.74±0.56 2.67±0.64
Subjective health status 10.76 <.001 22.80 <.001 5.29 .006
 Good 91 (30.4) 3.87±0.50a a>b>c 2.49±0.47c a>b>c 2.50±0.67b a>b
 Moderate 158 (52.9) 3.63±0.59b 2.76±0.49b 2.69±0.61ab
 Poor 50 (16.7) 3.41±0.72c 3.06±0.56a 2.85±0.64a
Working hours (hr/wk) 0.71 .493 4.25 .015 1.57 .211
 ≤40 105 (35.1) 3.71±0.62 2.63±0.50b a>b 2.59±0.67
 41–50 145 (48.5) 3.67±0.56 2.75±0.54ab 2.67±0.60
 ≥51 49 (16.4) 3.58±0.71 2.89±0.52a 2.79±0.70

Specialized units included intensive care units, operating rooms, emergency departments, central supply rooms, post-anesthesia care units, delivery rooms, and neonatal units.

SD, standard deviation.

a,b,cBy Scheffé test. a)By Mann-Whitney U test.

Table 2.
Levels of job stress, perceived organizational support, coping strategies, and professional quality of life (N=299)
Variable Range Mean±SD Min–Max Skewness Kurtosis
Job stress 1–4 2.28±0.32 1.42–3.25 0.28 0.31
Perceived organizational support 1–5 2.88±0.73 1.00–4.43 –0.41 –0.27
Active coping 1–4 3.01±0.56 1.83–3.92 –0.14 0.27
Passive coping 1–4 2.52±0.37 1.00–3.50 –0.46 1.04
Compassion satisfaction 1–5 3.68±0.60 1.00–4.90 –0.62 1.79
Burnout 1–5 2.50±0.49 1.30–4.20 0.12 –0.26
Secondary traumatic stress 1–5 2.64±0.63 1.00–4.30 –0.02 –0.23

SD, standard deviation.

Table 3.
Correlations among the variables (N=299)
Variable Job stress Perceived organizational support Active coping Passive coping Compassion satisfaction Burnout Secondary traumatic stress
r (p) r (p) r (p) r (p) r (p) r (p) r (p)
Job stress 1
Perceived organizational support –.62 (<.001) 1
Active coping –.18 (.002) .13 (.026) 1
Passive coping –.03 (.600) .13 (.031) .30 (<.001) 1
Compassion satisfaction –.48 (<.001) .48 (<.001) .40 (<.001) .13 (.021) 1
Burnout .51 (<.001) –.33 (<.001) –.23 (<.001) .07 (.232) –.55 (<.001) 1
Secondary traumatic stress .17 (.003) .07 (.232) .03 (.569) .28 (<.001) –.04 (.445) .56 (<.001) 1
Table 4.
Effects of job stress on compassion satisfaction, burnout, and secondary traumatic stress: the mediating effects of perceived organizational support and coping (N=299)
Variable Pathways B SE Boot SE β t p 95% CI Boot CI F(p) R2
Compassion satisfaction
 Total effect X→ Y1 –0.91 0.10 –.48 –9.51 <.001 –1.10 to –0.72
X→M1 –1.44 0.11 –.62 –13.50 <.001 –1.65 to –1.23 182.14 (<.001) .38
X→M2 –0.20 0.06 –.18 –3.11 .010 –0.33 to –0.07 9.67 (.010) .03
X→M3 –0.04 0.07 –.03 –0.53 .596 –0.17 to 0.10 0.28 (.596)
M1→ Y1 0.23 0.05 .29 4.87 <.001 0.14 to 0.33 45.59 (<.001) .38
M2→ Y1 0.53 0.08 .32 6.46 <.001 0.37 to 0.69
M3→ Y1 0.01 0.08 <.01 0.12 .904 –0.16 to 0.14
 Direct effect X→Y1 –0.47 0.11 –.25 –4.26 <.001 –0.69 to –0.26
 Total indirect effect –0.44 0.09 –0.61 to –0.27
  Indirect 1 X→M1→ Y1 –0.33 0.08 –0.49 to –0.19
  Indirect 2 X→M2→ Y1 –0.11 0.04 –0.20 to –0.03
  Indirect 3 X→M3→ Y1 <0.01 0.01 –0.01 to 0.02
Burnout
 Total effect X→ Y2 0.79 0.08 .51 10.11 <.001 0.63 to 0.94
X→M1 –1.44 0.11 –.62 –13.50 <.001 –1.65 to –1.23 182.14 (<.001) .38
X→M2 –0.20 0.06 –.18 –3.11 .010 –0.33 to –0.07 9.67 (.010) .03
X→M3 –0.04 0.07 –.03 –0.53 .596 –0.17 to 0.10 0.28 (.596)
M1→ Y2 –0.03 0.04 –.05 –0.73 .466 –0.11 to 0.05 30.84 (<.001) .30
M2→ Y2 –0.26 0.07 –.19 –3.62 <.001 –0.40 to –0.12
M3→ Y2 0.19 0.07 .15 2.81 .010 0.06 to 0.33
 Direct effect X→Y2 0.70 0.10 .45 7.12 <.001 0.51 to 0.89
 Total indirect effect 0.09 0.07 –0.03 to 0.22
  Indirect 1 X→M1→ Y2 0.04 0.06 –0.07 to 0.16
  Indirect 2 X→M2→ Y2 0.05 0.03 0.01 to 0.11
  Indirect 3 X→M3→ Y2 –0.01 0.02 –0.03 to 0.02
Secondary traumatic stress
 Total effect X→ Y3 0.34 0.11 .17 3.01 .010 0.12 to 0.57
X→M1 –1.44 0.11 –.62 –13.50 <.001 –1.65 to –1.23 182.14 (<.001) .38
X→M2 –0.20 0.06 –.18 –3.11 .010 –0.33 to –0.07 9.67 (.010) .03
X→M3 –0.04 0.07 –.03 –0.53 .596 –0.17 to 0.10 0.28 (.596)
M1→ Y3 –0.20 0.06 –.24 –3.44 <.001 –0.32 to –0.09 12.75 (<.001) .15
M2→ Y3 –0.04 0.10 –.02 –0.37 .711 –0.24 to 0.16
M3→ Y3 –0.46 0.10 –.27 –4.74 <.001 –0.64 to –0.27
 Direct effect X→Y3 0.64 0.14 .32 4.66 <.001 0.37 to 0.92
 Total indirect effect –0.30 0.10 –0.51 to –0.11
  Indirect 1 X→M1→ Y3 –0.29 0.10 –0.49 to –0.11
  Indirect 2 X→M2→ Y3 0.01 0.02 –0.04 to 0.06
  Indirect 3 X→M3→ Y3 –0.02 0.04 –0.09 to 0.06

Control variables: Compassion satisfaction: marital status, religion, education level, nursing experience, managerial experience, subjective health status; Burnout: age, marital status, religion, education level, working unit, nursing experience, managerial experience, subjective health status, working hours; Secondary traumatic stress: working unit, subjective health status.

Boot CI, bootstrapped confidence interval; Boot SE, bootstrapped standard error; CI, confidence interval; M1, perceived organizational support; M2, active coping; M3, passive coping; R2, coefficient of determination; SE, standard error; X, job stress; Y1, compassion satisfaction; Y2, burnout; Y3, secondary traumatic stress.

  • 1. Sveinsdóttir H, Blöndal K, Jónsdóttir HH, Bragadóttir H. The content of nurse unit managers’ work: a descriptive study using daily activity diaries. Scand J Caring Sci. 2018;32(2):861-870. https://doi.org/10.1111/scs.12517ArticlePubMed
  • 2. Niinihuhta M, Terkamo-Moisio A, Kvist T, Häggman-Laitila A. A comprehensive evaluation of factors affecting nurse leaders’ work-related well-being. Leadersh Health Serv (Bradf Engl). 2022;35(3):460-474. https://doi.org/10.1108/LHS-12-2021-0098ArticlePubMedPMC
  • 3. World Health Organization (WHO). State of the world’s nursing 2020: investing in education, jobs and leadership [Internet]. WHO; 2020 [cited 2025 Sep 22]. Available from: https://www.who.int/publications/i/item/9789240003279
  • 4. Buchan J, Catton H. Recover to rebuild: investing in the nursing workforce for health system effectiveness [Internet]. International Council of Nurses; 2023 [cited 2025 Sep 22]. Available from: https://www.icn.ch/sites/default/files/2023-07/ICN_Recover-to-Rebuild_report_EN.pdf
  • 5. Membrive-Jiménez MJ, Velando-Soriano A, Pradas-Hernandez L, Gomez-Urquiza JL, Romero-Béjar JL, Cañadas-De la Fuente GA, et al. Prevalence, levels and related factors of burnout in nurse managers: a multi-centre cross-sectional study. J Nurs Manag. 2022;30(4):954-961. https://doi.org/10.1111/jonm.13575ArticlePubMedPMC
  • 6. Labrague LJ, McEnroe-Petitte DM, Leocadio MC, Van Bogaert P, Cummings GG. Stress and ways of coping among nurse managers: an integrative review. J Clin Nurs. 2018;27(7-8):1346-1359. https://doi.org/10.1111/jocn.14165ArticlePubMed
  • 7. Remegio W, Rivera RR, Griffin MQ, Fitzpatrick JJ. The professional quality of life and work engagement of nurse leaders. Nurse Lead. 2021;19(1):95-100. https://doi.org/10.1016/j.mnl.2020.08.001ArticlePubMedPMC
  • 8. Bunch JL, Gedney-Lose A, Perkhounkova Y, Sharp B, Groves PS. Nurse managers’ professional quality of life during the COVID-19 pandemic. West J Nurs Res. 2024;46(3):183-191. https://doi.org/10.1177/01939459241227264ArticlePubMed
  • 9. Adriaenssens J, Hamelink A, Bogaert PV. Predictors of occupational stress and well-being in First-Line Nurse Managers: a cross-sectional survey study. Int J Nurs Stud. 2017;73:85-92. https://doi.org/10.1016/j.ijnurstu.2017.05.007ArticlePubMed
  • 10. Stamm BH. The concise manual for the professional quality of life scale [Internet]. ProQol; 2010 [cited 2018 Nov 20]. Available from: https://proqol.org/proqol-manual
  • 11. Ruiz-Fernández MD, Ramos-Pichardo JD, Ibáñez-Masero O, Carmona-Rega MI, Sánchez-Ruiz MJ, Ortega-Galán ÁM. Professional quality of life, self-compassion, resilience, and empathy in healthcare professionals during COVID-19 crisis in Spain. Res Nurs Health. 2021;44(4):620-632. https://doi.org/10.1002/nur.22158ArticlePubMedPMC
  • 12. Kelly LA, Lefton C, Fischer SA. Nurse leader burnout, satisfaction, and work-life balance. J Nurs Adm. 2019;49(9):404-410. https://doi.org/10.1097/NNA.0000000000000784ArticlePubMedPMC
  • 13. Luo D, Song Y, Cai X, Li R, Bai Y, Chen B, et al. Nurse managers’ burnout and organizational support: the serial mediating role of leadership and resilience. J Nurs Manag. 2022;30(8):4251-4261. https://doi.org/10.1111/jonm.13852ArticlePubMed
  • 14. Speroni KG, Antol S, Lisle L, Aroom W. Differences by nurse type in professional quality of life perceptions from pre-COVID-19 to intra-COVID-19. Online J Issues Nurs. 2023;28(3):1-11. https://doi.org/10.3912/OJIN.Vol28No03PPT75Article
  • 15. Rhoades L, Eisenberger R. Perceived organizational support: a review of the literature. J Appl Psychol. 2002;87(4):698-714. https://doi.org/10.1037/0021-9010.87.4.698ArticlePubMed
  • 16. Zheng J, Feng S, Gao R, Gong X, Ji X, Li Y, et al. The relationship between organizational support, professional quality of life, decent work, and professional well-being among nurses: a cross-sectional study. BMC Nurs. 2024;23(1):425. https://doi.org/10.1186/s12912-024-02114-5ArticlePubMedPMC
  • 17. Ren Y, Li G, Pu D, He L, Huang X, Lu Q, et al. The relationship between perceived organizational support and burnout in newly graduated nurses from southwest China: the chain mediating roles of psychological capital and work engagement. BMC Nurs. 2024;23(1):719. https://doi.org/10.1186/s12912-024-02386-xArticlePubMedPMC
  • 18. Tang Y, Wang Y, Zhou H, Wang J, Zhang R, Lu Q. The relationship between psychiatric nurses’ perceived organizational support and job burnout: mediating role of psychological capital. Front Psychol. 2023;14:1099687. https://doi.org/10.3389/fpsyg.2023.1099687ArticlePubMedPMC
  • 19. Eisenberger R, Huntington R, Hutchison S, Sowa D. Perceived organizational support. J Appl Psychol. 1986;71(3):500-507. https://doi.org/10.1037//0021-9010.71.3.500Article
  • 20. Lazarus RS, Folkman S. Stress, appraisal, and coping. Springer Publishing Company; 1984. p. 1913-1915.
  • 21. Carver CS, Scheier MF, Weintraub JK. Assessing coping strategies: a theoretically based approach. J Pers Soc Psychol. 1989;56(2):267-283. https://doi.org/10.1037//0022-3514.56.2.267ArticlePubMedPMC
  • 22. Jiao R, Li J, Cheng N, Liu X, Tan Y. The mediating role of coping styles between nurses’ workplace bullying and professional quality of life. BMC Nurs. 2023;22(1):459. https://doi.org/10.1186/s12912-023-01624-yArticlePubMedPMC
  • 23. Lim H. The impact of job stress on the professional quality of life of hospital nurses and the moderating effect of empathy competence [dissertation]. Gimhae: Inje University; 2018.
  • 24. Shin M, Joung W. Effects of job stress, social support, and infection control fatigue on professional quality of life among nurses in designated COVID-19 hospitals. J Korean Acad Nurs Adm. 2023;29(5):603-613. https://doi.org/10.11111/jkana.2023.29.5.603Article
  • 25. Lee YB, Lee HK. The convergence factors of nursing organizational culture on the nurses’ professional quality of life. J Korea Converg Soc. 2018;9(11):491-500. https://doi.org/10.15207/JKCS.2018.9.11.491Article
  • 26. Chang SJ, Koh SB, Kang D, Kim SA, Kang MG, Lee CG, et al. Developing an occupational stress scale for Korean employees. Korean J Occup Environ Med. 2005;17(4):297-317. https://doi.org/10.35371/kjoem.2005.17.4.297Article
  • 27. Woo TG, Kim MJ, Kwon KH. The effects of knowledge sharing and work engagement on innovative behavior: focused on the moderating effect of perceived organizational support. J Hum Resour Manag Res. 2019;26(4):105-128. https://doi.org/10.14396/jhrmr.2019.26.4.105Article
  • 28. Kim JH, Lee JH. Components of coping strategies and their relationship with depression. J Behav Sci [Internet]. 1985 [cited 2025 Sep 22];7(1):127-138. Available from: https://kiss.kstudy.com/Detail/Ar?key=1645863
  • 29. Park JY. A study on the relationship among type A and B ego-identity and stress coping [dissertation]. Seoul: Sookmyung Women’s University; 1995.
  • 30. Kim SH, Lee TW. Study of the relationship between compassion fatigue, somatization and silencing response among hospital nurses: focusing on the mediating effects of silencing response. Korean J Adult Nurs. 2014;26(3):362-371. https://doi.org/10.7475/kjan.2014.26.3.362Article
  • 31. Hayes AF. Introduction to mediation, moderation, and conditional process analysis: a regression-based approach. 2nd ed. Guilford Publications; 2017. 732 p.
  • 32. Kline RB. Data screening and assumptions. In: Kline RB, editor. Principles and practice of structural equation modeling. 4th ed. Guilford Publications; 2016. p. 63-96.
  • 33. Hair JF, Black WC, Babin BJ, Anderson RE. Multivariate data analysis. 8th ed. Cengage Learning; 2019. 813 p.
  • 34. Cybulska AM, Żołnowska MA, Schneider-Matyka D, Nowak M, Starczewska M, Grochans S, et al. Analysis of nurses’ attitudes toward patient death. Int J Environ Res Public Health. 2022;19(20):13119. https://doi.org/10.3390/ijerph192013119ArticlePubMedPMC
  • 35. Udod S, Cummings GG, Care WD, Jenkins M. Role stressors and coping strategies among nurse managers. Leadersh Health Serv (Bradf Engl). 2017;30(1):29-43. https://doi.org/10.1108/LHS-04-2016-0015ArticlePubMed
  • 36. Shan Y, Zhou X, Zhang Z, Chen W, Chen R. Enhancing the work engagement of frontline nurses during the COVID-19 pandemic: the mediating role of affective commitment and perceived organizational support. BMC Nurs. 2023;22(1):451. https://doi.org/10.1186/s12912-023-01623-zArticlePubMedPMC
  • 37. Lee HF, Kuo CC, Chien TW, Wang YR. A meta-analysis of the effects of coping strategies on reducing nurse burnout. Appl Nurs Res. 2016;31:100-110. https://doi.org/10.1016/j.apnr.2016.01.001ArticlePubMed
  • 38. Jin F, Ni S, Wang L. Occupational stress, coping strategies, and mental health among clinical nurses in hospitals: a mediation analysis. Front Public Health. 2025;13:1537120. https://doi.org/10.3389/fpubh.2025.1537120ArticlePubMedPMC
  • 39. Ha DG, Sung MH. Impact of job stress, coping behavior, hardiness on burnout in nurses in the emergency department. Korean J Occup Health Nurs. 2018;27(4):215-223. https://doi.org/10.5807/kjohn.2018.27.4.215Article
  • 40. Ceravolo D, Raines DA. The impact of a mindfulness intervention for nurse managers. J Holist Nurs. 2019;37(1):47-55. https://doi.org/10.1177/0898010118781620ArticlePubMed
  • 41. Dou J, Lian Y, Lin L, Asmuri SN, Wang P, Rajen Durai RA. Effectiveness of mindfulness-based interventions on burnout, resilience and sleep quality among nurses: a systematic review and meta-analysis of randomized controlled trials. BMC Nurs. 2025;24(1):739. https://doi.org/10.1186/s12912-025-03101-0ArticlePubMedPMC
  • 42. Zhang JY, Du RN, Wang ZR, Chen JX, Chen N, Zhao J, et al. The relationship between perceived organizational support and insomnia in psychiatric nurses in China: the mediating role of psychological capital. BMC Nurs. 2025;24(1):915. https://doi.org/10.1186/s12912-025-03554-3ArticlePubMedPMC

Figure & Data

REFERENCES

    Citations

    Citations to this article as recorded by  

      • ePub LinkePub Link
      • Cite
        CITE
        export Copy Download
        Close
        Download Citation
        Download a citation file in RIS format that can be imported by all major citation management software, including EndNote, ProCite, RefWorks, and Reference Manager.

        Format:
        • RIS — For EndNote, ProCite, RefWorks, and most other reference management software
        • BibTeX — For JabRef, BibDesk, and other BibTeX-specific software
        Include:
        • Citation for the content below
        The mediating effects of perceived organizational support and coping strategies on the relationship between job stress and professional quality of life among nurse managers in tertiary and general hospitals
        Close
      • XML DownloadXML Download
      Figure
      • 0
      We recommend
      The mediating effects of perceived organizational support and coping strategies on the relationship between job stress and professional quality of life among nurse managers in tertiary and general hospitals
      Image
      Fig. 1. Mediating effects of perceived organizational support and coping in the relationship between job stress and professional quality of life. (A–C) Conceptual framework of the mediating model. (D–F) Statistical model of the mediating effect. (A, D) Compassion satisfaction; (B, E) Burnout; (C, F) Secondary traumatic stress. AC, active coping; BO, burnout; c, total effect; c', direct effect; CS, compassion satisfaction; JS, job stress; PC, passive coping; POS, perceived organizational support; STS, secondary traumatic stress. *p<.05. **p<.001.
      The mediating effects of perceived organizational support and coping strategies on the relationship between job stress and professional quality of life among nurse managers in tertiary and general hospitals
      Characteristic n (%) or Mean±SD Professional quality of life
      Compassion satisfaction Burnout Secondary traumatic stress
      Mean±SD t or F (Z) p Mean±SD t or F (Z) p Mean±SD t or F (Z) p
      Age (yr) 2.79 .063 6.49 .002 0.14 .870
       <45 77 (25.7) 3.59±0.72 2.85±0.64b a>b 2.63±0.65
       45–49 104 (34.8) 3.61±0.53 2.79±0.47b 2.66±0.68
       ≥50 118 (39.5) 3.77±0.58 2.60±0.47a 2.68±0.61
       Mean±SD 47.98±5.06
      Gender –1.03a) .303 0.71a) .481 –2.66a) .008
       Men 7 (2.3) 3.47±0.51 2.87±0.69 2.06±0.52
       Women 292 (97.7) 3.67±0.61 2.73±0.53 2.68±0.64
      Marital status –3.29 .001 –3.90 <.001 1.12 .263
       Unmarried 40 (13.4) 3.38±0.61 3.03±0.57 2.77±0.57
       Married 259 (86.6) 3.71±0.59 2.68±0.51 2.65±0.65
      Religion 2.39 .018 –2.36 .019 0.45 .653
       Yes 183 (61.2) 3.73±0.59 2.67±0.54 2.67±0.64
       No 116 (38.8) 3.56±0.61 2.82±0.50 2.64±0.65
      Education level –3.54 <.001 2.34 .020 –0.22 .828
       Bachelor’s or below 43 (14.4) 3.37±0.69 2.90±0.50 2.64±0.63
       Master’s or above 256 (85.6) 3.72±0.58 2.70±0.53 2.66±0.64
      Hospital type –1.10 .273 1.74 .083 1.47 .142
       General hospital 126 (42.1) 3.62±0.63 2.79±0.51 2.73±0.64
       Tertiary hospital 173 (57.9) 3.70±0.59 2.68±0.54 2.62±0.64
      Working unit 2.79 .063 6.34 .002 4.05 .018
       General ward 159 (53.2) 3.61±0.61 2.80±0.52a a>b 2.75±0.64a a>b
       Specialized unit 83 (27.8) 3.69±0.64 2.74±0.54a 2.61±0.67ab
       Outpatient/others 57 (19.0) 3.82±0.51 2.51±0.48b 2.49±0.58b
      Nursing experience (yr) 5.56 .001 6.67 <.001 0.24 .871
       <20 53 (17.7) 3.40±0.84b a>b 2.90±0.67a a>b 2.61±0.65
       20–25 86 (28.8) 3.69±0.49a 2.79±0.52a 2.70±0.65
       25–30 90 (30.1) 3.67±0.56ab 2.74±0.41ab 2.68±0.61
       ≥30 70 (23.4) 3.84±0.51a 2.51±0.50b 2.64±0.68
      Managerial experience (yr) 3.46 .017 3.61 .014 0.22 .880
       <2 46 (15.4) 3.51±0.75a 2.84±0.61a 2.64±0.61
       2–5 78 (26.1) 3.55±0.65a 2.84±0.51a 2.71±0.68
       5–10 93 (31.1) 3.74±0.53a 2.70±0.51a 2.65±0.64
       ≥10 82 (27.4) 3.78±0.52a 2.60±0.49a 2.63±0.64
      No. of staff nurses supervised 0.36 .701 0.27 .762 0.25 .780
       <20 89 (29.8) 3.67±0.60 2.69±0.52 2.62±0.63
       20–40 140 (46.8) 3.64±0.61 2.74±0.52 2.68±0.65
       ≥40 70 (23.4) 3.72±0.61 2.74±0.56 2.67±0.64
      Subjective health status 10.76 <.001 22.80 <.001 5.29 .006
       Good 91 (30.4) 3.87±0.50a a>b>c 2.49±0.47c a>b>c 2.50±0.67b a>b
       Moderate 158 (52.9) 3.63±0.59b 2.76±0.49b 2.69±0.61ab
       Poor 50 (16.7) 3.41±0.72c 3.06±0.56a 2.85±0.64a
      Working hours (hr/wk) 0.71 .493 4.25 .015 1.57 .211
       ≤40 105 (35.1) 3.71±0.62 2.63±0.50b a>b 2.59±0.67
       41–50 145 (48.5) 3.67±0.56 2.75±0.54ab 2.67±0.60
       ≥51 49 (16.4) 3.58±0.71 2.89±0.52a 2.79±0.70
      Variable Range Mean±SD Min–Max Skewness Kurtosis
      Job stress 1–4 2.28±0.32 1.42–3.25 0.28 0.31
      Perceived organizational support 1–5 2.88±0.73 1.00–4.43 –0.41 –0.27
      Active coping 1–4 3.01±0.56 1.83–3.92 –0.14 0.27
      Passive coping 1–4 2.52±0.37 1.00–3.50 –0.46 1.04
      Compassion satisfaction 1–5 3.68±0.60 1.00–4.90 –0.62 1.79
      Burnout 1–5 2.50±0.49 1.30–4.20 0.12 –0.26
      Secondary traumatic stress 1–5 2.64±0.63 1.00–4.30 –0.02 –0.23
      Variable Job stress Perceived organizational support Active coping Passive coping Compassion satisfaction Burnout Secondary traumatic stress
      r (p) r (p) r (p) r (p) r (p) r (p) r (p)
      Job stress 1
      Perceived organizational support –.62 (<.001) 1
      Active coping –.18 (.002) .13 (.026) 1
      Passive coping –.03 (.600) .13 (.031) .30 (<.001) 1
      Compassion satisfaction –.48 (<.001) .48 (<.001) .40 (<.001) .13 (.021) 1
      Burnout .51 (<.001) –.33 (<.001) –.23 (<.001) .07 (.232) –.55 (<.001) 1
      Secondary traumatic stress .17 (.003) .07 (.232) .03 (.569) .28 (<.001) –.04 (.445) .56 (<.001) 1
      Variable Pathways B SE Boot SE β t p 95% CI Boot CI F(p) R2
      Compassion satisfaction
       Total effect X→ Y1 –0.91 0.10 –.48 –9.51 <.001 –1.10 to –0.72
      X→M1 –1.44 0.11 –.62 –13.50 <.001 –1.65 to –1.23 182.14 (<.001) .38
      X→M2 –0.20 0.06 –.18 –3.11 .010 –0.33 to –0.07 9.67 (.010) .03
      X→M3 –0.04 0.07 –.03 –0.53 .596 –0.17 to 0.10 0.28 (.596)
      M1→ Y1 0.23 0.05 .29 4.87 <.001 0.14 to 0.33 45.59 (<.001) .38
      M2→ Y1 0.53 0.08 .32 6.46 <.001 0.37 to 0.69
      M3→ Y1 0.01 0.08 <.01 0.12 .904 –0.16 to 0.14
       Direct effect X→Y1 –0.47 0.11 –.25 –4.26 <.001 –0.69 to –0.26
       Total indirect effect –0.44 0.09 –0.61 to –0.27
        Indirect 1 X→M1→ Y1 –0.33 0.08 –0.49 to –0.19
        Indirect 2 X→M2→ Y1 –0.11 0.04 –0.20 to –0.03
        Indirect 3 X→M3→ Y1 <0.01 0.01 –0.01 to 0.02
      Burnout
       Total effect X→ Y2 0.79 0.08 .51 10.11 <.001 0.63 to 0.94
      X→M1 –1.44 0.11 –.62 –13.50 <.001 –1.65 to –1.23 182.14 (<.001) .38
      X→M2 –0.20 0.06 –.18 –3.11 .010 –0.33 to –0.07 9.67 (.010) .03
      X→M3 –0.04 0.07 –.03 –0.53 .596 –0.17 to 0.10 0.28 (.596)
      M1→ Y2 –0.03 0.04 –.05 –0.73 .466 –0.11 to 0.05 30.84 (<.001) .30
      M2→ Y2 –0.26 0.07 –.19 –3.62 <.001 –0.40 to –0.12
      M3→ Y2 0.19 0.07 .15 2.81 .010 0.06 to 0.33
       Direct effect X→Y2 0.70 0.10 .45 7.12 <.001 0.51 to 0.89
       Total indirect effect 0.09 0.07 –0.03 to 0.22
        Indirect 1 X→M1→ Y2 0.04 0.06 –0.07 to 0.16
        Indirect 2 X→M2→ Y2 0.05 0.03 0.01 to 0.11
        Indirect 3 X→M3→ Y2 –0.01 0.02 –0.03 to 0.02
      Secondary traumatic stress
       Total effect X→ Y3 0.34 0.11 .17 3.01 .010 0.12 to 0.57
      X→M1 –1.44 0.11 –.62 –13.50 <.001 –1.65 to –1.23 182.14 (<.001) .38
      X→M2 –0.20 0.06 –.18 –3.11 .010 –0.33 to –0.07 9.67 (.010) .03
      X→M3 –0.04 0.07 –.03 –0.53 .596 –0.17 to 0.10 0.28 (.596)
      M1→ Y3 –0.20 0.06 –.24 –3.44 <.001 –0.32 to –0.09 12.75 (<.001) .15
      M2→ Y3 –0.04 0.10 –.02 –0.37 .711 –0.24 to 0.16
      M3→ Y3 –0.46 0.10 –.27 –4.74 <.001 –0.64 to –0.27
       Direct effect X→Y3 0.64 0.14 .32 4.66 <.001 0.37 to 0.92
       Total indirect effect –0.30 0.10 –0.51 to –0.11
        Indirect 1 X→M1→ Y3 –0.29 0.10 –0.49 to –0.11
        Indirect 2 X→M2→ Y3 0.01 0.02 –0.04 to 0.06
        Indirect 3 X→M3→ Y3 –0.02 0.04 –0.09 to 0.06
      Table 1. Differences in professional quality of life according to participants’ general characteristics (N=299)

      Specialized units included intensive care units, operating rooms, emergency departments, central supply rooms, post-anesthesia care units, delivery rooms, and neonatal units.

      SD, standard deviation.

      By Scheffé test. a)By Mann-Whitney U test.

      Table 2. Levels of job stress, perceived organizational support, coping strategies, and professional quality of life (N=299)

      SD, standard deviation.

      Table 3. Correlations among the variables (N=299)

      Table 4. Effects of job stress on compassion satisfaction, burnout, and secondary traumatic stress: the mediating effects of perceived organizational support and coping (N=299)

      Control variables: Compassion satisfaction: marital status, religion, education level, nursing experience, managerial experience, subjective health status; Burnout: age, marital status, religion, education level, working unit, nursing experience, managerial experience, subjective health status, working hours; Secondary traumatic stress: working unit, subjective health status.

      Boot CI, bootstrapped confidence interval; Boot SE, bootstrapped standard error; CI, confidence interval; M1, perceived organizational support; M2, active coping; M3, passive coping; R2, coefficient of determination; SE, standard error; X, job stress; Y1, compassion satisfaction; Y2, burnout; Y3, secondary traumatic stress.


      J Korean Acad Nurs : Journal of Korean Academy of Nursing
      Close layer
      TOP